Sugarbeet processing lime effects on high-pH soils and crops in the Northwest U.S.

Precipitated calcium carbonate (PCC) is a by-product of sucrose extraction from sugarbeet and is considered a good lime material for acidic soil treatment. In the sugarbeet-growing area in Idaho, Oregon, and Washington, most soils have a pH of 7.5–8.5 and do not require lime applications to adjust soil pH. However, there is a need to find more offsite beneficial use or disposal methods for PCC, and agricultural land application is a practical method to dispose of PCC. A study was conducted to assess the effects of added PCC to a common alkaline soil on yields and soil chemical properties in a sugarbeet–dry bean–barley rotation. The data will be used to help determine if PCC can be land-applied on high-pH soils.
Precipitated calcium carbonate (PCC) is a by-product of sucrose extraction from sugarbeet and is considered a good lime material for acidic soil treatment. Various lime materials are used in agriculture to ameliorate the negative effects of soil acidification on crop production (Havlin et al., 1999). An estimated 25 to 30% of world soils are acidic (Havlin et al., 1999). In the sugarbeet-growing area in Idaho, Oregon, and Washington, most soils have a pH of 7.5–8.5 and do not require lime applications to adjust soil pH. Not only are lime applications not needed to correct soil pH, but there are also questions regarding potential negative effects of increasing salt concentrations with added PCC.
The three major sugarbeet-processing factories in southern Idaho produce approximately 387,000 tons of PCC annually. Most of the PCC is stockpiled near the factories. Without an offsite beneficial use or disposal method for the PCC, the stockpiles will continue to grow. The difficulty in finding more land to stockpile PCC due to availability issues and high land prices, and potential environmental issues, have resulted in the need for Amalgamated Sugar Company LLC to find more offsite beneficial use or disposal methods. Agricultural land application is a practical method to dispose of PCC.
A study was conducted by the USDA-ARS and Amalgamated Sugar Company LLC to assess the effects of added PCC to a common alkaline soil on yields and soil chemical properties in a sugarbeet–dry bean–barley rotation. The data will be used to help determine if PCC can be land-applied on high-pH soils.

The study was conducted from 2014 to 2020 at the USDA-ARS Northwest Irrigation & Soils Research Lab in Kimberly, ID on a Portneuf silt loam soil. The treatments included four PCC application rate/timings. The treatments included a no lime (Control), 3 tons/ac applied four years in a row in the fall (3A), 10 tons/ac applied four years in a row in the fall (10A), and 40 tons/ac applied in fall of 2014 (40T). The “A” and “T” designations represent “annual” and “total,” respectively. The total lime applied for the 3A, 10A, and 40T treatments was 12, 40, and 40 tons/ac, respectively (Table 1).
The treatments were selected to: (a) determine the effects of PCC on crop production and soil chemical properties (method: Control vs. 3A, 10A, and 40T); (b) compare the effects of a “low” rate of PCC compared with a “high” rate of PCC (method: 3A vs. 10A and 40T); and (c) compare the effects of the same total rate of PCC application applied differently over time (10A vs. 40T). The treatments were arranged in a randomized block design, and each treatment was replicated four times. Each plot was 22 ft wide and 60 ft long.
Soils were sampled in the spring and fall of each year from 0 to 12 inches (Table 1). In the fall of each year, the soil sampling was done before PCC application. The soil samples were analyzed for pH (Kalra, 1995), electrical conductivity (EC) (Rhoades, 1996), Total P, bicarbonate extractable P (Olsen P; Olsen et al., 1954), NO3–N and NH4–N (Mulvaney, 1996), and total C and N using a FlashEA1112 CN analyzer (CE, Elantech, Lakewood, NJ). Due to the significant concentration of P in the PCC (Table 2) and the marginal concentrations in the soil over the study area, to eliminate the crop productivity responses to P, in spring 2015, 400 lb P2O5/ac (monoammonium phosphate fertilizer) was applied over the entire study area. Soil fertilizer recommendations were determined each year based on University of Idaho recommendations for each crop.

Following PCC applications each fall, the entire study area was disked, moldboard-plowed, and roller-harrowed. The study area was planted to sugarbeet (BTS 21RR25) in 2015 and 2018, dry beans (Ruby Small Red) in 2016 and 2019, and barley (Moravian 69) in 2017 and 2020. The crops were furrow-irrigated to meet estimated crop evapotranspiration (ETc) rates (Wright, 1982). The harvest areas within each plot for each crop were 201, 275, and 275 ft2 for sugarbeet, dry bean, and barley, respectively.
Analysis of variance was conducted for treatment main effects for selected production factors (sugarbeet root yield, sugarbeet estimated recoverable sucrose yield, sugarbeet root sucrose concentration, sugarbeet root brei nitrate concentration, barley grain yield, and dry bean yield) using a randomized block design model in Statistix 8.2 (Analytical Software, Tallahassee, FL). For significant (0.05 probability level) main effects, the LSD mean separation method was used to determine treatment differences.

Precipitated Calcium Carbonate Composition (Tables 2 and 3)
- Precipitated calcium carbonate is a significant source of P, a moderate source of K, and a minor source of other nutrients and elements. The total amount of P added from the 3A, 10A, and 40T treatments is 444, 1,480, and 1,480 lb P2O5/ac, respectively.
- The PCC pH (8.5) was slightly higher than most soils in the study area. The soil pH at this site is 7.8 to 8.1.
- The calcium carbonate equivalency (CCE) is the acid-neutralizing value of PCC compared with 100% calcium carbonate. The CCE of the PCC is 75% of pure calcium carbonate, making it a good soil pH adjustment liming material.

Crop Yield and Quality (Table 4)
- The addition of PCC at all rates and timings did not affect yields of barley and dry beans compared with no PCC over the course the study. The average dry yields across years and treatments for dry beans and barley were 3,800 and 6,100 lb/ac.
- For sugarbeet, the only statistically significant effect PCC had was on sugarbeet root yields in 2018. This significant difference in sugarbeet root yield was not easily interpreted according to PCC application rates and timings. Increased root yields in 2018 with PCC could have been the result of increased P concentrations in the soil, but the control treatment soil P levels were sufficient based on soil test recommendations. Also, there were greater differences in soil P between PCC treatments and the control in 2015 with no differences in root yield. It is common in research studies to have significant differences between treatments that are not explained by the treatments.
- The overall interpretation of this data is that PCC did not negatively affect sugarbeet production in this study.
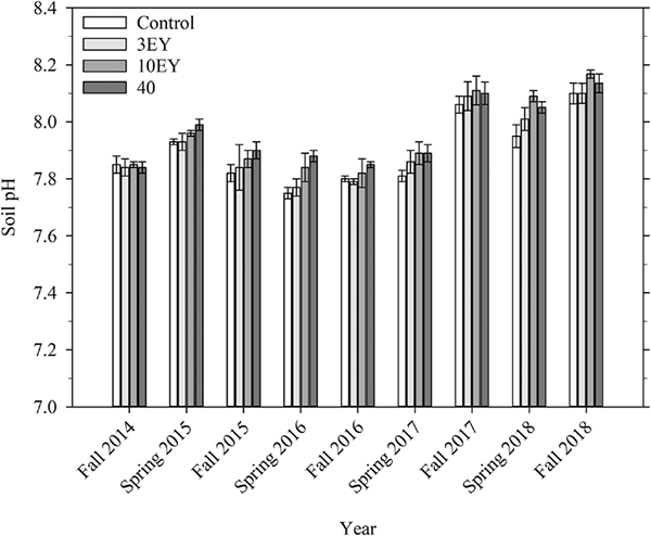
Soil pH (Figure 1)
- Soil pH levels varied based on date of measurement. Base pH levels of the control varied between sample time; all other treatments followed the same variation. These temporal variations may be the result of several soil factors such as temperature, soil water, microbial processes, etc.
- The important pH comparisons are between treatments within each sample date. The data shows that before lime applications (Fall 2014), all soils from the study had the same pH. Over time, the plots with lime application showed a trend for increasing pH. However, the increase in pH was not great. Although the PCC was adding acid-neutralizing anions, the amount of these ions in the soil were much greater than the amount added in the PCC. This is analogous to adding a few drops of water to a glass of water—the drops of water do not significantly increase the volume of water in the glass.
- The important takeaway from Figure 1 is that the increase in soil pH from the PCC is not likely to cause any negative effects associated with soil chemistry that would affect plant growth.
Soil Test P (Figure 2)
- Precipitated calcium carbonate increased plant-available soil P.
- Precipitated calcium carbonate has an added P fertilizer value.
- In soils that have high soil P, PCC can potentially increase negative environmental impacts. The extent of the environmental impacts will vary based on management practices that affect the amount of runoff that enters off-site water streams. Practices that reduce runoff will reduce risks.


Conclusions
Application of PCC at rates up to 40 tons/ac did not negatively affect crop production in a silt loam soil and serves as a P fertilizer source.
References
Analytical Software. (2003). Statistix 8. Analytical Software.
Havlin, J.L., Beaton, J.D., Tisdale, S.L., & Nelson, W.L. (1999). Soil fertility and fertilizers: An introduction to nutrient management ( 6th ed.). Prentice Hall.
Mulvaney, R.L. (1996). Nitrogen—inorganic forms. In D.L. Sparks (Ed.), Methods of soil analysis: Part 3 (SSSA Book Ser. 5, pp. 1123–1184). SSSA.
Olson, R.A., Rhodes, M.B., & Dreier, A.F. (1954). Available phosphorus status of Nebraska soils in relation to series classification, time of sampling and method of measurement. Agronomy Journal, 46, 175–180.
Rhoades, J.D. (1996). Salinity: Electrical conductivity and total dissolved solids. D.L. Sparks (Ed.), Methods of soil analysis. Part 3. Chemical methods (SSSA Book Ser. 5, pp. 417–435). SSSA.
Wright, J.L. (1982). New evapotranspiration crop coefficients. Journal of Irrigation and Drainage Division. Proceedings of the ASCE, 108, 57–74.
Text © . The authors. CC BY-NC-ND 4.0. Except where otherwise noted, images are subject to copyright. Any reuse without express permission from the copyright owner is prohibited.






